模糊综合评价
- ##### 分析方法视频解读:
- ##### 模糊综合评价原理及注意事项
- ##### 案例数据下载
- ##### 数据格式说明
模糊综合评价借助模糊数学的一些概念,对实际的综合评价问题提供评价,即模糊综合评价以模糊数学为基础,应用模糊关系合成原理,将一些边界不清、不易定量的因素定量化,进而进行综合性评价的一种方法。
举例来讲:某服装品牌生产某种服装新款式,欲了解消费者对该种款式的接受程度。一共有五个评价指标(分别是花色,式样,价格,耐用度,舒适度),以及评语共有四项(分别是很欢迎,欢迎,一般,不欢迎)。现在希望分析出消费者的综合评价情况如何,到底是很欢迎,还是欢迎,也或者一般或者不欢迎等。
上述例子中评价指标则为五项(花色,式样,价格,耐用度,舒适度),以及评语为四项(很欢迎,欢迎,一般,不欢迎)。如果说评价指标的权重不一样,此时则需要有指标权重指标值,也称作权重向量A(默认是五项的权重一样)。除此之外,消费者对于五项评价指标的评价打分情况(或者选择比例情况),我们称之为权重判断矩阵R。比如下表格:
| 指标项 | 很欢迎 | 欢迎 | 一般 | 不欢迎 |
|---|---|---|---|---|
| 花色 | 0.2 | 0.5 | 0.3 | 0.0 |
| 式样 | 0.1 | 0.3 | 0.5 | 0.1 |
| 价格 | 0.0 | 0.1 | 0.6 | 0.3 |
| 耐用度 | 0.0 | 0.4 | 0.5 | 0.1 |
| 舒适度 | 0.5 | 0.3 | 0.2 | 0.0 |
上表格展示出消费者对于五个评价指标的评语选择比例情况(当然表格中为选择个数也可以),比如针对价格,选择“很欢迎”的比例是0,但是选择一般的比例是0.6(即60%)。上述表格即称之为权重判断矩阵R,在使用SPSSzero 操作时,直接拖拽“很欢迎”,“欢迎”,“一般”和“不欢迎”这四列进入分析框中即可。(当然上表中写成选择个数即数字也可以,SPSSzero 会默认进行归一化处理,即将数字自动转化成百分数后进行计算)
如果说五项指标(花色,式样,价格,耐用度,舒适度)的权重不一样(默认是权重一样),此时可自行构评价指标权重向量A,比如下表:
| 指标项 | 指标项权重 |
|---|---|
| 花色 | 0.1 |
| 式样 | 0.1 |
| 价格 | 0.15 |
| 耐用度 | 0.30 |
| 舒适度 | 0.35 |
花色在评价体系中占的权重是0.1(即10%),而舒适度的权重是0.35(即35%)。(当然如果权重写成数字也可以,SPSSzero会默认进行归一化处理,即将数字自动转化成百分数后进行计算)【多数情况下,各项评价指标的权重均一致不需要单独处理】。
有了上述两个矩阵,即权重向量矩阵A和权重判断矩阵R;此时则可直接进行模糊综合评价权重计算,得出评价的综合情况,到底是是很欢迎,还是欢迎,也或者一般或者不欢迎等。以及也可以计算出综合得分,用于表示消费者的综合评价情况。
- ###### 综上所述:模糊综合评价共分为三个步骤,分别如下:
- 第一步:确定评价指标和评语集;
- 第二步:确定权重向量矩阵A和构造权重判断矩阵R;
- 第三步:计算权重并进行决策评价。
- ###### 特别提示
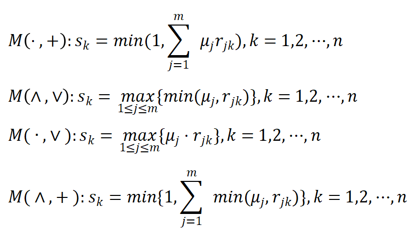
- 模糊综合评价共有四种计算方式(即四种模糊算子),SPSSzero 默认推荐使用加权平均型这种综合最优的评价方式;
| 编号 | 模糊算子类型 | 说明 |
|---|---|---|
| 1 | 主因素突出型:M(Λ, V) | 较少使用A矩阵和R矩阵信息,不推荐使用 |
| 2 | 主因素突出型:M(., V) | 较少使用A矩阵和R矩阵信息,不推荐使用 |
| 3 | 加权平均型:M(Λ, +) | 更多使用R矩阵信息,推荐使用 |
| 4 | 加权平均型:M(., +) | 综合利用A矩阵和R矩阵信息,推荐使用 |
- 关于权重向量矩阵A,如果不提供,SPSSzero 默认会以所有指标的权重一致进行计算;如果提供,则按照提供的权重进行计算;
- 关于权重向量矩阵A,无论如何,SPSSzero均需要先进行归一化处理,然后再进行计算;因此不论是数字还是小数均会得到正确的结果;
- 关于权重判断矩阵R,无论如何,SPSSzero均需要先进行归一化处理,然后再进行计算;因此不论是数字还是小数均会得到正确的结果;
SPSSzero 分析结果表格示例如下:
| 权重计算结果 | ||||
|---|---|---|---|---|
| 很欢迎 | 欢迎 | 一般 | 不欢迎 | |
| 隶属度 | 0.205 | 0.320 | 0.390 | 0.085 |
| 隶属度归一化【权重】 | 0.205 | 0.320 | 0.390 | 0.085 |
| 综合得分计算 | ||||
|---|---|---|---|---|
| 综合得分 | 很欢迎 | 欢迎 | 一般 | 不欢迎 |
| 2.645 | 4 | 3 | 2 | 1 |
模糊综合评价案例
- #### 1、背景
某服装品牌生产某种服装新款式,欲了解消费者对该种款式的接受程度。一共有五个评价指标(分别是花色,式样,价格,耐用度,舒适度),以及评语共有四项(分别是很欢迎,欢迎,一般,不欢迎)。现在希望分析出消费者的综合评价情况如何,到底是很欢迎,还是欢迎,也或者一般或者不欢迎等。五个指标分别的权重为(0.1,0.1,0.15,0.3,0.35),以及消费者对于五个指标下四项评语的选择比例情况如下表所示,即原始数据格式如下表:
| 指标项 | 指标项权重 | 很欢迎 | 欢迎 | 一般 | 不欢迎 |
|---|---|---|---|---|---|
| 花色 | 0.1 | 0.2 | 0.5 | 0.3 | 0.0 |
| 式样 | 0.1 | 0.1 | 0.3 | 0.5 | 0.1 |
| 价格 | 0.15 | 0.0 | 0.1 | 0.6 | 0.3 |
| 耐用度 | 0.3 | 0.0 | 0.4 | 0.5 | 0.1 |
| 舒适度 | 0.35 | 0.5 | 0.3 | 0.2 | 0.0 |
上表格显示:五个指标项均对应有权重,因此分析时需要将指标权重项放入分析框中;同时共有四项评语,则将四项评语放入分析框中。
- ###### 特别提示
- SPSSzero 分析时指标项的具体名称项(上表中第1列)不需要放入分析框中,当然SPSSzero也无法识别名字(智能分析会以“指标1”,“指标2”,“指标3”,“指标4”,“指标5”,分别表示花色,式样,价格,耐用度,舒适度这5项)
完整的模糊综合评价分析法通常包括三个步骤,分别是:
- 第一步:确定评价指标和评语集;
- 第二步:确定权重向量矩阵A和构造权重判断矩阵R;
- 第三步:计算权重并进行决策评价。
此步骤中需要特别注意模糊算子的选择(即计算方式的选择),默认SPSSzero推荐使用加权平均型:M(., +)模糊算子,因此此计算方法综合利用了指标权重向量A和权重判断矩阵R的信息。
- #### 3、操作
本例子中共有四项评语(分别是很欢迎,欢迎,一般,不欢迎),并且五个评价指标的权重不一致,因而需要单独放置评价指标的权重矩阵A。SPSSzero 操作截图如下:

- ###### 特别提示:
- 评价指标权重为“可选”,如果不放置,SPSSzero 默认会以指标项权重相同进行处理(通常情况下均是此种情况)。
| 权重计算结果 | ||||
|---|---|---|---|---|
| 很欢迎 | 欢迎 | 一般 | 不欢迎 | |
| 隶属度 | 0.205 | 0.320 | 0.390 | 0.085 |
| 隶属度归一化【权重】 | 0.205 | 0.320 | 0.390 | 0.085 |
上表格展示出综合评价情况,包括隶属度指标及权重(即隶属度归一化后数据),隶属度是用于判断综合评价应该放在具体某“评语”下面更合适的指标,根据最大隶属度法则,隶属度最大时对应的“评语”则为综合评价的结果。
隶属度归一化,即对隶属度进行归一化处理,计算得出的权重。
| 综合得分计算 | ||||
|---|---|---|---|---|
| 综合得分 | 很欢迎 | 欢迎 | 一般 | 不欢迎 |
| 2.645 | 4 | 3 | 2 | 1 |
如果说希望得到一个综合得分,用于描述评价综合情况,用于进行多个评价体系进行对比等,则可以使用综合得分计算表格。不同的评语有着不同的分值,因此输入评语的分值后就会得出综合得分【综合得分是利用隶属度归一化即权重度与评语分值进行加权得出】。
- #### 5、文字分析
| 权重计算结果 | ||||
|---|---|---|---|---|
| 很欢迎 | 欢迎 | 一般 | 不欢迎 | |
| 隶属度 | 0.205 | 0.320 | 0.390 | 0.085 |
| 隶属度归一化【权重】 | 0.205 | 0.320 | 0.390 | 0.085 |
从上表可知,针对5个指标(指标1, 指标2, 指标3, 指标4, 指标5)【样本量为5所以有5个指标】,以及4个评语集进行模糊综合评价,并且使用M(., +)算子进行研究;
- ###### 特别提示
- SPSSzero 分析时指标项的具体名称无法识别,因而以“指标1”,“指标2”,“指标3”,“指标4”,“指标5”等进行代替(此处实际意义分别对应为:花色,式样,价格,耐用度,舒适度)。
首先建立评价指标权重向量矩阵A,以及构建出5x4权重判断矩阵R,最终进行分析出4个评语集的权重值,分别是:0.205,0.320,0.390,0.085。4个评语集中一般的权重值最高(0.390),结合最大隶属度法则可知,最终综合评价结果为属于一般。
同时从上表格可以看出,综合来看有39%的消费者选择“一般”,还有32%的消费者选择“欢迎”。
| 综合得分计算 | ||||
|---|---|---|---|---|
| 综合得分 | 很欢迎 | 欢迎 | 一般 | 不欢迎 |
| 2.645 | 4 | 3 | 2 | 1 |
结合实际情况,针对四个评语(很欢迎,欢迎,一般,不欢迎),分别赋分为4,3,2和1分;然后计算得出综合得分值是2.645分。综合得分介于“欢迎”和“一般”之间。
- #### 6、剖析
- ###### 特别提示
- 关于权重向量矩阵A,如果不提供,SPSSzero 默认会以所有指标的权重一致进行计算;如果提供,则按照提供的权重进行计算;
- 关于权重向量矩阵A,无论如何,SPSSzero均需要先进行归一化处理,然后再进行计算;因此不论是数字还是小数均会得到正确的结果;
- 关于权重判断矩阵R,无论如何,SPSSzero均需要先进行归一化处理,然后再进行计算;因此不论是数字还是小数均会得到正确的结果;
- 请特别注意数据格式的上传及操作;
- SPSSzero 分析时指标项的具体名称无法识别,智能分析会以“指标1”,“指标2”,“指标3”,“指标4”,“指标5”等进行代替。
疑难解惑
- ##### 简要概述模糊综合评价是什么?
- 模糊综合评价是一种综合评价方法,其涉及到4个关键术语名词,分别是:指标项、评语、权重判断矩阵R、权重向量矩阵A,分别如下说明:
- 指标项:比如对于Iphone手机在3个方面的满意度,价格满意度、样式满意度和IOS系统满意度;
- 评语:指标项的‘选项’,比如非常满意,满意,一般,不满意等;模糊综合评价即用来判断最终到底应该属于那个评语项;
- 权重判断矩阵R:指标项及各评语的选择频数(或者比例),即需要上传的原始数据;
- 权重向量矩阵A:如果Ipone手机3个方面满意度的权重不一样,则需要设置,如果权重一样则不需要处理。
- ##### 上传数据格式如何?
- 模糊综合评价需要上传的数据即为权重判断矩阵R,格式很特殊,类似如下表所示:
| 指标项 | 非常满意 | 满意 | 一般 | 不满意 |
|---|---|---|---|---|
| 价格满意度 | 30 | 25 | 4 | 5 |
| 样式满意度 | 20 | 23 | 10 | 11 |
| IOS系统满意度 | 40 | 21 | 1 | 2 |
- 上表格即为需要上传的原始数据格式(3个指标项,4个评语),里面的数字换成百分比也可以(数字代表某指标项在某评语上的选择个数),同时数字需要手工整理好,通常可使用比如频数分析得到,然后自行整理规范后上传即可。
- 上传后将四个评语拖拽到‘右侧框’中即可进行分析。

- ##### 三级指标有数据,二级指标如何计算权重?
- 如果是层次结构的数据进行模糊综合评价。比如有3个二级指标分别是A,B,C;A对应着A1,A2,A3; B对应着B1,B2,B3,B4; C对应着C1,C2,C3,C4;那么A1,A2,A3进行一次模糊综合评价;B1,B2,B3,B4进行一次模糊综合评价;C1,C2,C3,C4进行一次模糊综合评价。A,B,C如果没有数据,则无法单独进行模糊综合评价;可考虑将所有三级指标数据全部一起进行一次模糊综合评价,然后借助“隶属度归一化【权重】”值进行分析。
- 如果对于分析使用的原始数据格式有疑问,请参考下面链接说明:
- ##### SPSSzero 模糊综合评价时如何使用综合得分?
- 模糊综合评价时,首先会计算出权重值,然后研究者可输入指标项的分值,则会得到综合得分值,其计算原理为指标项分值与权重值相乘后累加。一般情况下并不需要使用综合得分,其意义频率较低。
- ##### 模糊综合评价时隶属函数是什么意思?
- 模糊综合评价时,结合隶属函数可计算得到隶属度,具体分别如下:

- ##### SPSSzero进行模糊综合评价时数据格式如何?
- 模糊综合评价时其数据格式可参考本页面案例,或者SPSSzero 数据格式页面:点击查看。