解释结构模型ISM分析
- ##### 分析方法视频解读:
- ##### 案例数据下载
- ##### 数据格式说明
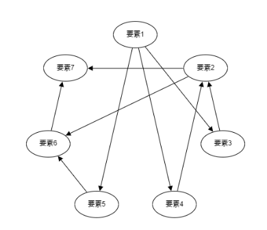
ISM(解释结构模型,Interpretative Structural Modeling Method,简称ISM方法)是一种系统工程研究方法,其作用在于研究系统结构关系情况;比如下图(有向图)中,已知各要素间的影响关系情况,现希望使用解释结构模型将各种逻辑结构关系进行梳理,比如找出各要素的层级层次关系情况,此时则可以使用解释结构模型。

如果可以画出有向图,事实上可将‘有向图’进行数学矩阵化(即原始数据输入),比如上图部可对应数据数据格式如下(比如要素1对要素3有箭头即有影响关系,那么对应的单元格为C2则为1,类似地,要素1对要素4/要素5有影响关系,因而D2和E2这两个单元格为数字1;要素1对要素2/要素6/要素7均没有影响关系因而对应B2、F2和G2均为数字0),输入好数据后让SPSSzero进行分析处理即可。

- ###### 特别提示
- 解释结构模型ISM法时数据格式特别重要,一定要严格按照数据格式进行;
- 解释结构模型ISM法的数据格式上:数字0代表没有影响(以及右下三角线数字一定为0,因为自己不会影响自己),数字1表示有影响;
- SPSSzero 默认要求数据格式的第1行为‘要素名称’,如果第一行是数字则SPSSzero自动识别为没有提供‘要素名称’,那么默认会称名称为比如‘要素1’,‘要素2’等等。
解释结构模型ISM案例
- #### 1、背景
当前有一系统图示如下,以及其数据格式对应如下:


- #### 2、理论
解释结构模型ISM分析一般分为五个步骤,依次如下说明:
- 第1步:提供‘邻接矩阵’,即原始数据;
- 第2步:计算‘邻接矩阵与单位矩阵相加’,得到新矩阵;
- 第3步:计算得到‘可达矩阵’,‘可达矩阵’中的数字表示‘某要素’经过各种路径后会直达‘另一要素’,‘可达矩阵’的计算公式为:‘可达矩阵’=‘邻接矩阵’+‘单位矩阵’,‘可达矩阵’中数字1表示某要素到另一要素之间存在着路径,数字0
则表示某要素到另一要素不存在路径;
- 第4步:计算得到‘可达集合与先行集合及其次表’,该表格中包括‘可达集合R’,‘先行集合Q’,以及该两个集合的交集即‘交集A=R∩Q’;
- 可达集合R:其表示‘可达矩阵’某要素对应行中,包含有1的元素集合;
先行集合Q:其表示‘可达矩阵’某要素对应列中,包括有1的元素集合;
交集A:其表示可达集合R和先行集合Q的交集。
- 第5步:计算得到层次分解,该表格用于展示各要素层次分布关系;
- 第6步:SPSSzero自动输出‘有向图’,即原始数据‘邻接矩阵’的可视化展示。
- ###### 特别提示
- 除有向图外,ISM还可进行‘层次关系示意图’,SPSSzero当前默认提供‘层次关系示意图’。
本例子操作如下:

将数据输入或者粘贴到表格中,然后点击‘开始分析’即可。
- #### 4、SPSSzero 输出结果
SPSSzero共输出5个表格和1个图。分别如下说明:
| 表格或图 | 备注说明 |
|---|---|
| 邻接矩阵 | 即原始输入数据,重复展示确保数据正确无误 |
| 邻接矩阵与单位矩阵相加 | ‘邻接矩阵’与‘单位矩阵’相加得到新矩阵 |
| 可达矩阵 | 展示要素之间是否存在着连接路径,数字1表示两要素之间存在路径,数字0表示无论如何两要素之间不存在路径 |
| 可达集合与先行集合及其交集表 | 针对‘可达矩阵’进一步分解得到 |
| 层次分解 | 展示各要素的层次分布情况 |
| 有向图 | ‘邻接矩阵’的可视化呈现 |
- #### 5、文字分析

上表格为‘邻接矩阵’即为输入的数据矩阵,其展示要素间的逻辑影响关系情况。数字1代表两要素之间有影响关系,数字0代表两要素之间没有影响关系。右下三角对角线的数字一定为0,因为自己不可能影响自己。
针对‘邻接矩阵’,某列全部为0,则为‘输入端’,即只影响别的要素,不被别的要素影响,如果某行全部为0,则为‘输出端’,即只被别的要素影响,不影响别的要素。

将邻接矩阵与对应的单位矩阵进行矩阵相加,得到上表格矩阵。其目的在于得到‘可达矩阵’。

- ###### ‘可达矩阵’展示要素之间是否存在着连接路径;
- 第一:如果数字为1则表示某要素到另一要素之间存在着路径;
- 第二:如果数字为0则表示某要素到另一要素之间不存在路径。

- ###### 结合上一步‘可达矩阵’进行分解如上表结果;
- 第一:可达集合R,其表示‘可达矩阵’某要素对应行中,包含有1的元素集合;
- 第二:先行集合Q,其表示‘可达矩阵’某要素对应列中,包括有1的元素集合;
- 第三:交集A,其表示可达集合R和先行集合Q的交集。

- ###### 最后SPSSzero展示‘层次分解’结果,层次分解表格展示各要素的层次分布情况;比如上图中,最后系统可拆分成5个层次,分别每个层次中的要素已经列出,可通过层次分解图绘制出图形。
- 第一:层次分解目的在于了解各要素层次分布关系;
- 第二:顶层表示系统最终目标,往下各层分别表示 是上一层的原因;
- 第三:底层表示系统最初点原因,往上各层分别是下一层的结果。

SPSSzero 在最后展示‘有向图’, ‘邻接矩阵’的图形化展示。
- ###### 特别提示
- 除有向图外,ISM还可进行‘层次关系示意图’,SPSSzero当前默认提供‘层次关系示意图’。
涉及以下几个关键点,分别如下:
- ###### 解释结构模型ISM的数据格式如何?
- SPSSzero进行解释结构模型ISM分析时,其数据格式为:数字0代表没有影响(以及右下三角线数字一定为0,因为自己不会影响自己),数字1表示有影响;
- SPSSzero 默认要求数据格式的第1行为‘要素名称’,如果第一行是数字则SPSSzero自动识别为没有提供‘要素名称’,那么默认会称名称为比如‘要素1’,‘要素2’等。
- ###### 解释结构模型中的层次关系示意图?
- SPSSzero当前默认提供‘层次关系示意图’。
疑难解惑
- ##### SPSSzero 中ISM数据类型参数?
- 默认情况下,SPSSzero 中支持提供邻接矩阵分析数据,如果分析数据格式为可达矩阵,此时下拉选择‘数据类型’参数即可。
- ##### SPSSzero进行ISM分析时,层次分解要素变少?
- 在某些极端情况下,算法无法进行层次抽取出全部因素,此时即要素会变少。
- ##### SPSSzero 中ISM类型参数意义?
- SPSSzero 默认提供结果优先(up型)层级抽取方式,当然也可选择使用‘原因优先’(down型)。二者对层级抽取逻辑不一致,但通常情况下结论基本一致。